beats365

信息公开

当前位置: 公司首页 > 信息公开 > 正文

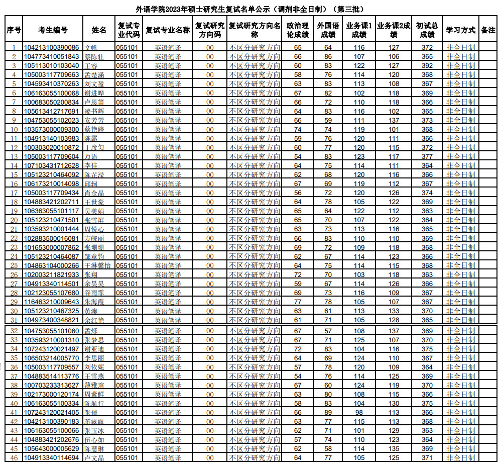
2023年硕士研究生复试名单公示(调剂非全日制)(第三批)

时间:2023-04-11 点击:来源:beats365

上一篇:2023年硕士研究生复试成绩公示(第二批)

下一篇: 2023年硕士研究生复试名单公示(调剂全日制)(第二批)

联系我们:

地址:中国.湖北.武汉.东湖新技术开发区光谷一路206号  

邮编:430205          电话: 027-87992026

beats365(官网中文)-Official Platform 版权所有 All Rights Reserved 2016-2023

友情链接:

beat365官网中文公众号